【Q&A】
[Question]
日本人(外国人)社員は、強制加入の社会保険の対象となりますか?
[Answer]
雇用形態により異なりますので、下記、ご確認ください。
【日本人(外国人)に係る強制加入の社会保険】
社内異動(出向)の場合: 社会保険・失業保険は不要となりますが、地域によっては健康保険が発生する場合がありますので、管轄の保険当局へ確認が必要
※親会社での12ヵ月以上の勤務が必要
現地採用の場合: 失業保険を除く、社会保険・健康保険が発生
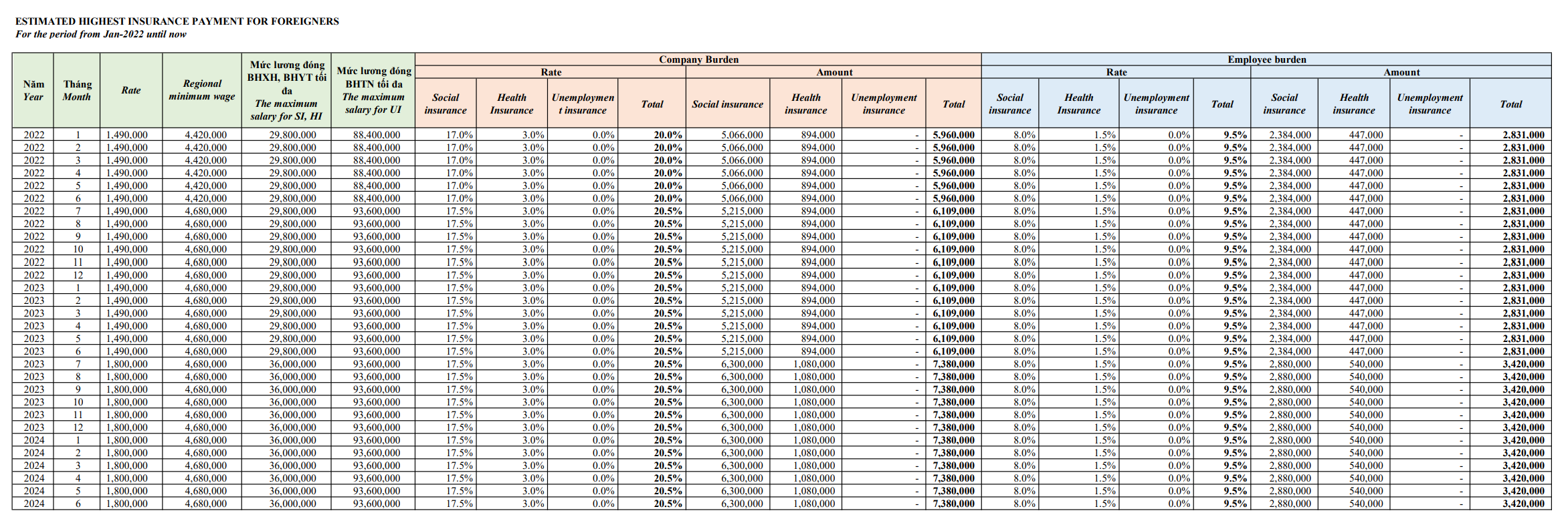
【保険税率】*2024年3月時点
会社負担 20.5%(最大7,380,000 VND) 個人負担: 9.5%(最大2,831,000 VND) *社内異動(出向)の場合は、地域によって健康保険のみ発生となります。

本日は以上となります。当社では上記労務手続きのみならず、法務・税務手続きのご相談も可能となりますので、是非お気軽にお問い合わせください。